Упр.931 ГДЗ Макарычев Миндюк 9 класс (Алгебра)
Решение #1
Решение #2

Рассмотрим вариант решения задания из учебника Макарычев, Миндюк, Нешков 9 класс, Просвещение:
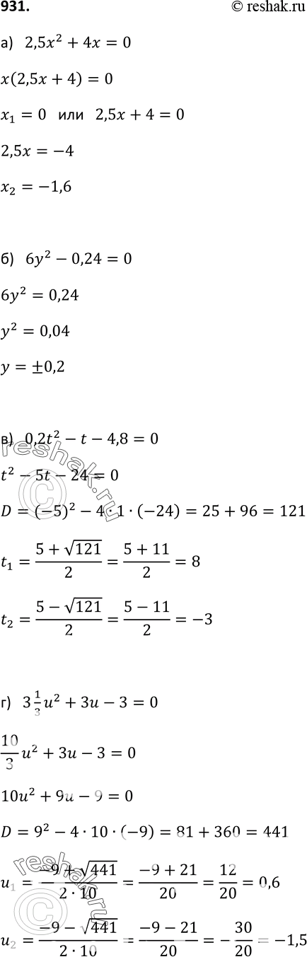
931. Решите квадратное уравнение:
а) 2,5x2 + 4х = 0;
б) 6у2 - 0,24 = 0;
в) 0,2t2 — t — 4,8 = 0;
г) 3 1u2/3 + 3u - 3 = 0.
*размещая тексты в комментариях ниже, вы автоматически соглашаетесь с пользовательским соглашением