Упр.766 ГДЗ Макарычев Миндюк 9 класс (Алгебра)
Решение #1
Решение #2

Рассмотрим вариант решения задания из учебника Макарычев, Миндюк, Нешков 9 класс, Просвещение:
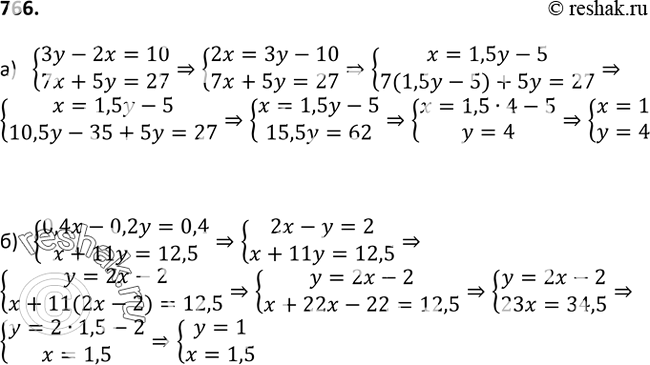
766. Решите систему уравнений:
а) система
3y-2x=10,
7x+5y=27;
б) система
0,4x-0,2y=0,4,
x+11y=12,5.
*размещая тексты в комментариях ниже, вы автоматически соглашаетесь с пользовательским соглашением