Упр.273 ГДЗ Макарычев Миндюк 9 класс (Алгебра)
Решение #1
Решение #2

Рассмотрим вариант решения задания из учебника Макарычев, Миндюк, Нешков 9 класс, Просвещение:
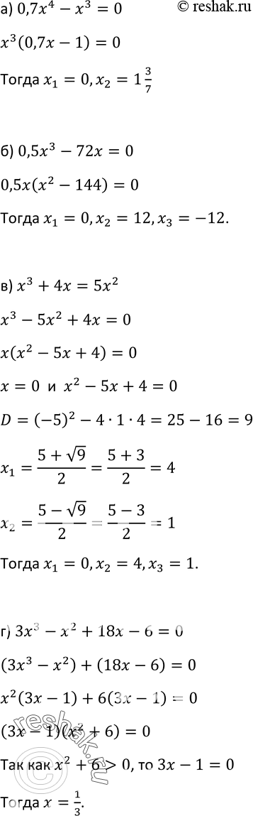
273. Решите уравнение:
а) 3х3 - х2 + 18х -6 = 0; б) 2х4 - 18х2 = 5х3 - 45х.
*размещая тексты в комментариях ниже, вы автоматически соглашаетесь с пользовательским соглашением