Упр.90 ГДЗ Макарычев Миндюк 8 класс (Алгебра)
Решение #1
Решение #2
Решение #3

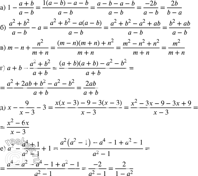
Рассмотрим вариант решения задания из учебника Макарычев, Миндюк, Нешков 8 класс, Просвещение:
90. Преобразуйте в дробь выражение:
*размещая тексты в комментариях ниже, вы автоматически соглашаетесь с пользовательским соглашением