Упр.977 ГДЗ Никольский Потапов 7 класс (Алгебра)
Решение #1

Рассмотрим вариант решения задания из учебника Никольский, Потапов 7 класс, Просвещение:
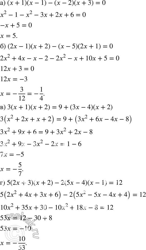
977 а) (х + 1)(х - 1) - (х - 2)(х + 3) = 0;
б) (2х - 1)(х + 2) - (х - 5)(2х + 1) = 0;
в) 3(х + 1)(х + 2) = 9 + (Зх - 4)(х + 2);
г) 5 (2х + 3)(х + 2) - 2(5x - 4)(х - 1) = 12.
*размещая тексты в комментариях ниже, вы автоматически соглашаетесь с пользовательским соглашением