Упр.948 ГДЗ Макарычев Миндюк 9 класс (Углубленный) (Алгебра)
Решение #1

Рассмотрим вариант решения задания из учебника Макарычев, Миндюк, Нешков 9 класс, Просвещение:
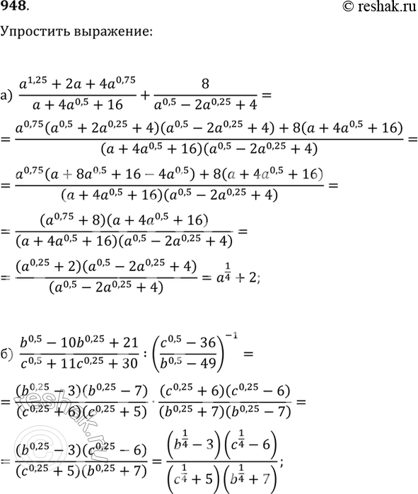
948. Упростите выражение:
а) (a^1,25+2a+4a^0,75)/(a+4a^0,5+16)+8/(a^0,5-2a^0,25+4);
б) (b^0,5-10b^0,25+21)/(c^0,5+11c^0,25+30):((c^0,5-36)/(b^0,5-49))^(-1);
в) ((2x-16x^0,5+32)/x^0,5)^(-1):(x^0,5/(2x^0,5-8)+8/(x+4x^0,5)-(x+16)/(2x-32));
г) 4y^(1/2)/(1-4y^(1/2))^(1/2)·((1-v(1-4y^(1/2)))/(1+v(1-4y^(1/2)))-(1+v(1-4y^(1/2)))/(1-v(1-4y^(1/2)))).
*размещая тексты в комментариях ниже, вы автоматически соглашаетесь с пользовательским соглашением