Упр.911 ГДЗ Никольский Потапов 7 класс (Алгебра)
Решение #1

Рассмотрим вариант решения задания из учебника Никольский, Потапов 7 класс, Просвещение:
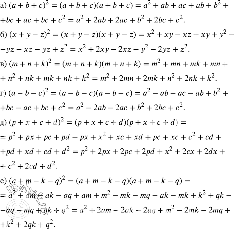
911. Преобразуйте выражение в многочлен:
а) (а + b + с)2;
б) (х + у - z)2;
в) (m + n + k)2;
г) (а - b - с)2;
д) (р + х + с + d)2;
е) (а + m - k - q)2.
*размещая тексты в комментариях ниже, вы автоматически соглашаетесь с пользовательским соглашением