Упр.891 ГДЗ Мерзляк 8 класс (Алгебра)
Решение #1
Решение #2
Решение #3

Рассмотрим вариант решения задания из учебника Мерзляк, Полонская, Якир 8 класс, Вентана-Граф:
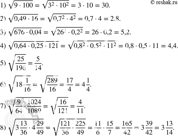
891. Найдите значение корня:
1) корень (9 * 100);
2) корень (0,49 * 16);
3) корень (676 * 0,04);
4) корень (0,64 * 0,25 * 121);
5) корень (25/196);
6) корень (18 1/16);
7) корень (9/64 * 1024/1089);
8) корень (3 13/36 * 4 29/49).
*размещая тексты в комментариях ниже, вы автоматически соглашаетесь с пользовательским соглашением