Упр.876 ГДЗ Никольский Потапов 9 класс (Алгебра)

Решение #1

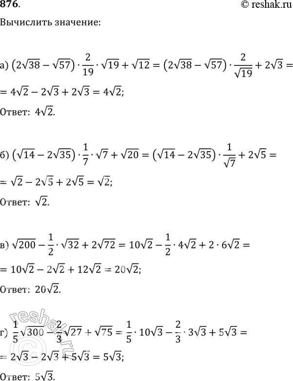
Изображение 876. а) (2v38-v57)·(2/19)·v19+v12;   б) (v14-2v35)·(1/7)·v7+v20;в) v200-(1/2)·v32+2v72;   г)...

Рассмотрим вариант решения задания из учебника Никольский, Потапов 9 класс, Просвещение:
876. а) (2v38-v57)·(2/19)·v19+v12; б) (v14-2v35)·(1/7)·v7+v20;
в) v200-(1/2)·v32+2v72; г) (1/5)v300-(2/3)v27+v75.
*Цитирирование задания со ссылкой на учебник производится исключительно в учебных целях для лучшего понимания разбора решения задания.
*размещая тексты в комментариях ниже, вы автоматически соглашаетесь с пользовательским соглашением