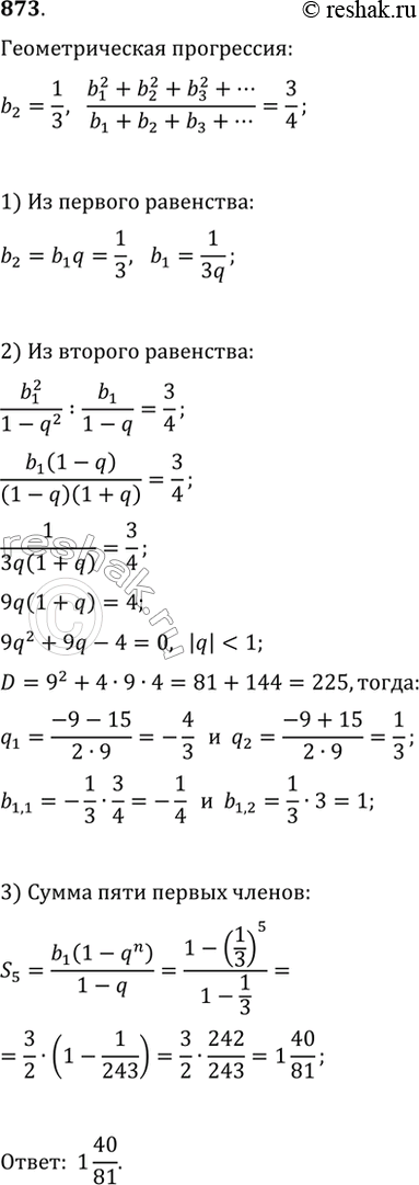
Упр.873 ГДЗ Макарычев Миндюк 9 класс (Углубленный) (Алгебра)
Решение #1

Рассмотрим вариант решения задания из учебника Макарычев, Миндюк, Нешков 9 класс, Просвещение:
873. Найдите сумму первых пяти членов бесконечно убывающей геометрической прогрессии, второй член которой равен 1/3, а отношение суммы последовательности, составленной из квадратов её членов, к сумме этой последовательности равно 3/4.
*размещая тексты в комментариях ниже, вы автоматически соглашаетесь с пользовательским соглашением