Упр.838 ГДЗ Макарычев Миндюк 9 класс (Углубленный) (Алгебра)
Решение #1

Рассмотрим вариант решения задания из учебника Макарычев, Миндюк, Нешков 9 класс, Просвещение:
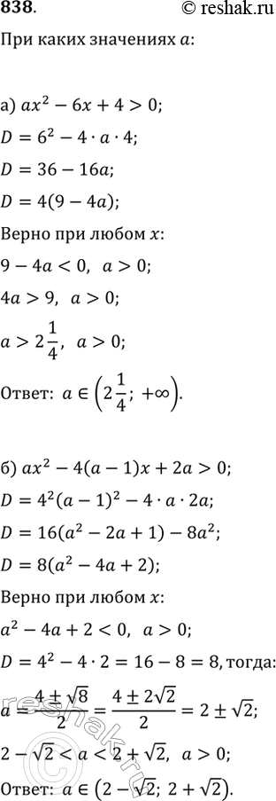
838. При каких значениях a неравенство верно при любом х:
а) ax^2-6x+4>0; б) ax^2-4(a-1)x+2a>0?
*размещая тексты в комментариях ниже, вы автоматически соглашаетесь с пользовательским соглашением