Упр.819 ГДЗ Никольский Потапов 7 класс (Алгебра)
Решение #1

Рассмотрим вариант решения задания из учебника Никольский, Потапов 7 класс, Просвещение:
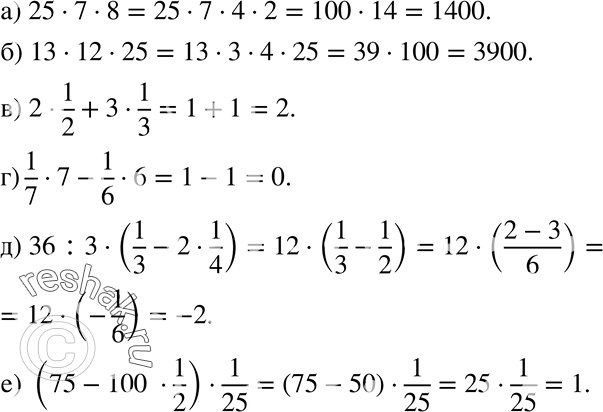
819 а) 25*7*8;
б) 13*12*25;
в) 2*1/2+3*1/3;
г) 1/7*7-1/6*6;
д) 36:3*(1/3-2*1/4);
е) (75-100*1/2)*1/25.
*размещая тексты в комментариях ниже, вы автоматически соглашаетесь с пользовательским соглашением