Упр.817 ГДЗ Мерзляк 9 класс (Алгебра)
Решение #1
Решение #2

Рассмотрим вариант решения задания из учебника Мерзляк, Полонская, Якир 9 класс, Вентана-Граф:
817. Среди данных последовательностей укажите геометрические прогрессии, первый член и знаменатель каждой из них:
1) 2, 6, 18, 36;
2) 4, 8, 16, 32;
3) 10, 20, 30, 40;
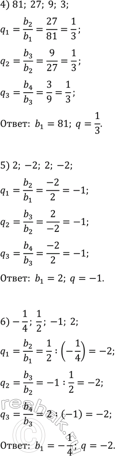
4) 81, 27, 9, 3;
5) 2, -2, 2, -2;
6) -1/4, 1/2, -1, 2;
7) -9, -9, -9, -9;
8) 1, 2, 3, 5;
9) -корень(2), 2, 2корень(2), 4.
*размещая тексты в комментариях ниже, вы автоматически соглашаетесь с пользовательским соглашением