Упр.807 ГДЗ Никольский Потапов 7 класс (Алгебра)
Решение #1

Рассмотрим вариант решения задания из учебника Никольский, Потапов 7 класс, Просвещение:
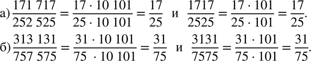
807. Доказываем. Докажите, что:
а) 171717/252525=1717/2525=17/25;
б) 313131/757575=3131/7575=31/75.
*размещая тексты в комментариях ниже, вы автоматически соглашаетесь с пользовательским соглашением