Упр.780 ГДЗ Никольский Потапов 8 класс (Алгебра)
Решение #1

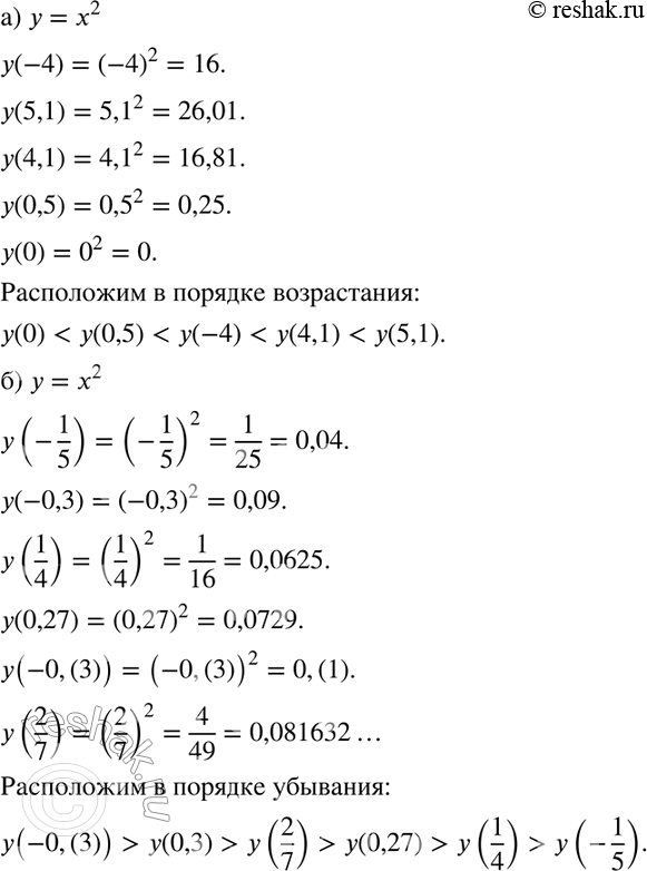
Рассмотрим вариант решения задания из учебника Никольский, Потапов 8 класс, Просвещение:
780 а) Расположите значения функции у = х2 в порядке возрастания: у(-4), у(5,1), у(4,1), у(0,5), у(0).
б) Расположите значения функции у = х2 в порядке убывания y(-1/5), y(-0,3), y(1/4), y(0,27),y(-0,(3)), y(2/7).
*размещая тексты в комментариях ниже, вы автоматически соглашаетесь с пользовательским соглашением