Упр.765 ГДЗ Мерзляк 8 класс (Алгебра)
Решение #1
Решение #2
Решение #3

Рассмотрим вариант решения задания из учебника Мерзляк, Полонская, Якир 8 класс, Вентана-Граф:
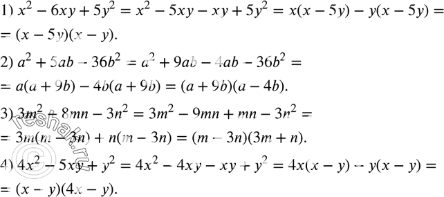
765. Разложите на множители многочлен:
1) x2 - 6ху + 5у2;
2) а2 + 5ab - 36b2;
3) 3m2 - 8mn - 3n2;
4) 4x2 - 5xy + y2.
*размещая тексты в комментариях ниже, вы автоматически соглашаетесь с пользовательским соглашением