Упр.749 ГДЗ Макарычев Миндюк 9 класс (Углубленный) (Алгебра)
Решение #1

Рассмотрим вариант решения задания из учебника Макарычев, Миндюк, Нешков 9 класс, Просвещение:
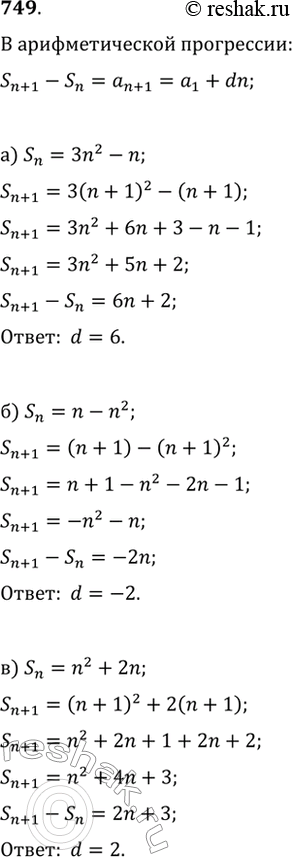
749. Является ли арифметической прогрессией последовательность (a_n), сумма первых n членов которой вычисляется по формуле:
а) S_n=3n^2-n; б) S_n=n-n^2; в) S_n=n^2+2n?
При положительном ответе укажите разность прогрессии.
*размещая тексты в комментариях ниже, вы автоматически соглашаетесь с пользовательским соглашением