Упр.743 ГДЗ Мерзляк 9 класс (Алгебра)
Решение #1
Решение #2

Рассмотрим вариант решения задания из учебника Мерзляк, Полонская, Якир 9 класс, Вентана-Граф:
743. Является ли последовательность (an) арифметической прогрессией, если она задана формулой n-го члена:
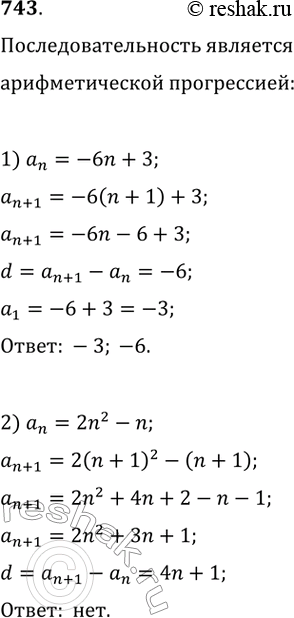
1) аn = -6n + 3;
2) аn = 2n^2 - n;
3) аn = -2,8n;
4) аn = n/(n + 1)?
В случае утвердительного ответа укажите первый член и разность прогрессии.
*размещая тексты в комментариях ниже, вы автоматически соглашаетесь с пользовательским соглашением