Упр.724 ГДЗ Колягин Ткачёва 8 класс (Алгебра)
Решение #1

Рассмотрим вариант решения задания из учебника Колягин, Ткачёва, Фёдорова 8 класс, Просвещение:
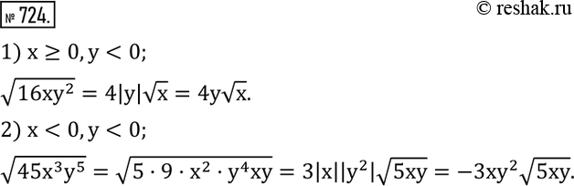
724. Вынести множитель из-под знака корня:
1) v(16xy^2 ), где x?0,y<0;
2) v(45x^3 y^5 ), где x<0,y<0.
*размещая тексты в комментариях ниже, вы автоматически соглашаетесь с пользовательским соглашением