Упр.721 ГДЗ Мерзляк 8 класс (Алгебра)
Решение #1
Решение #2
Решение #3

Рассмотрим вариант решения задания из учебника Мерзляк, Полонская, Якир 8 класс, Вентана-Граф:
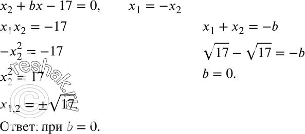
721. При каком значении b корни уравнения х2 + bх - 17 = 0 являются противоположными числами? Найдите эти корни.
*размещая тексты в комментариях ниже, вы автоматически соглашаетесь с пользовательским соглашением