Упр.715 ГДЗ Мерзляк Полонский 7 класс (Алгебра)
Решение #1
Решение #2

Рассмотрим вариант решения задания из учебника Мерзляк, Полонская, Якир 7 класс, Вентана-Граф:
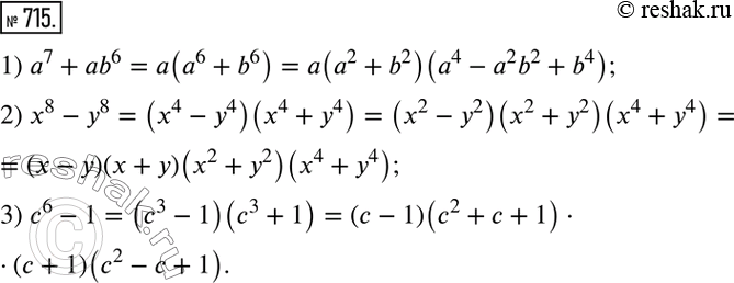
715. Разложите на множители:
1) а7 + аb6;
2) х8 - y8;
3) с6 - 1.
*размещая тексты в комментариях ниже, вы автоматически соглашаетесь с пользовательским соглашением