Упр.700 ГДЗ Мерзляк 9 класс (Алгебра)
Решение #1
Решение #2

Рассмотрим вариант решения задания из учебника Мерзляк, Полонская, Якир 9 класс, Вентана-Граф:
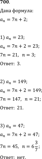
700. Последовательность (an) задана формулой n-го члена аn = 7n + 2. Является ли членом этой последовательности число:
1) 23; 2) 149; 3) 47?
В случае утвердительного ответа укажите номер этого члена.
*размещая тексты в комментариях ниже, вы автоматически соглашаетесь с пользовательским соглашением