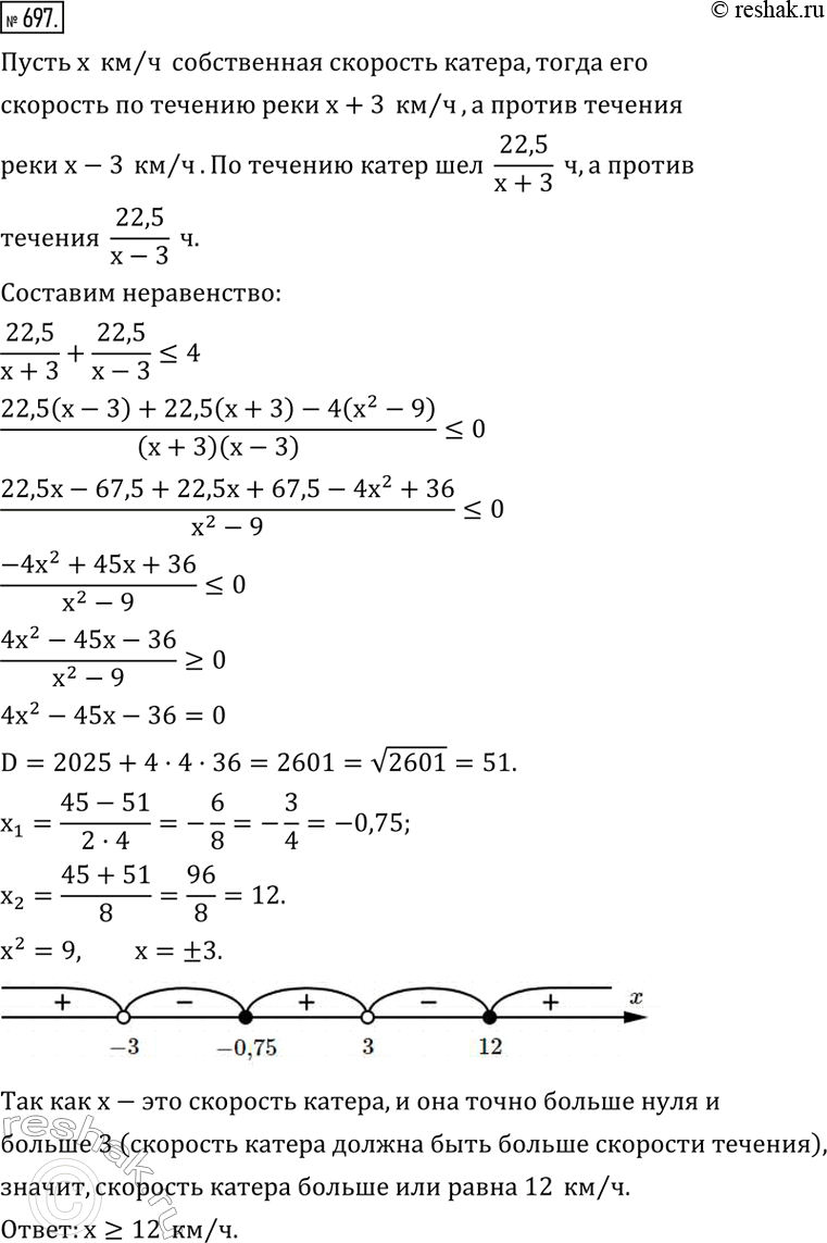
Упр.697 ГДЗ Колягин Ткачёва 8 класс (Алгебра)
Решение #1

Рассмотрим вариант решения задания из учебника Колягин, Ткачёва, Фёдорова 8 класс, Просвещение:
697. Катер должен не более чем за 4 ч пройти по течению реки 22,5 км и вернуться обратно. С какой скоростью относительно воды должен идти катер, если скорость течения реки равна 3 км/ч?
*размещая тексты в комментариях ниже, вы автоматически соглашаетесь с пользовательским соглашением