Упр.696 ГДЗ Мерзляк 8 класс (Алгебра)
Решение #1
Решение #2
Решение #3

Рассмотрим вариант решения задания из учебника Мерзляк, Полонская, Якир 8 класс, Вентана-Граф:
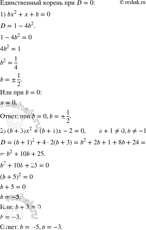
696. При каком значении b имеет единственный корень уравнение:
1) bх2 + x + b = 0;
2) (b + З)x2 + (b + 1)x - 2 = 0?
*размещая тексты в комментариях ниже, вы автоматически соглашаетесь с пользовательским соглашением