Упр.695 ГДЗ Мерзляк 8 класс (Алгебра)
Решение #1
Решение #2
Решение #3

Рассмотрим вариант решения задания из учебника Мерзляк, Полонская, Якир 8 класс, Вентана-Граф:
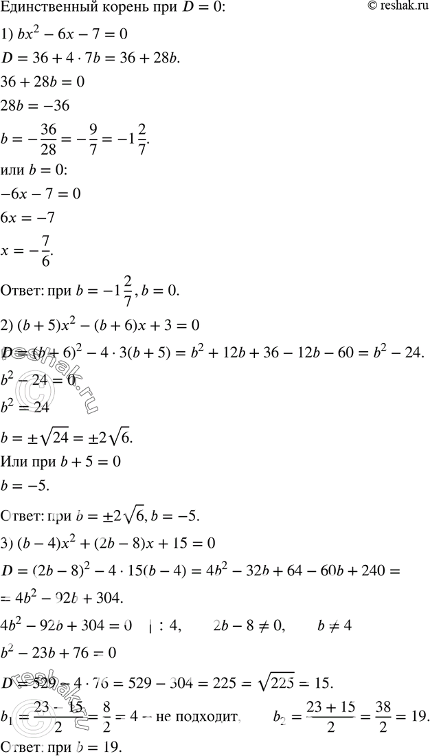
695. При каком значении b имеет единственный корень уравнение:
1) bх2 - 6x - 7 = 0;
2) (b + 5)х2- (b + 6)х + 3 = 0;
3) (b - 4)х2 + (2b - 8)x + 15 = 0?
*размещая тексты в комментариях ниже, вы автоматически соглашаетесь с пользовательским соглашением