Упр.685 ГДЗ Мерзляк Полонский 7 класс (Алгебра)
Решение #1
Решение #2

Рассмотрим вариант решения задания из учебника Мерзляк, Полонская, Якир 7 класс, Вентана-Граф:
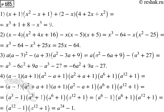
685. Упростите выражение:
1) (х + 1)(х2-х + 1) + (2-х)(4 + 2х + х2);
2) (х - 4) (х2 + 4х + 16) - х(х - 5)(х + 5);
3) а(а - 3)2 - (а + 3) (а2 - 3а + 9);
4) (а - 1)(а + 1)(а2 - а + 1)(а2 + а + 1)(a6 + 1)(a12 + 1).
*размещая тексты в комментариях ниже, вы автоматически соглашаетесь с пользовательским соглашением