Упр.684 ГДЗ Дорофеев Суворова 7 класс (Алгебра)
Решение #1

Рассмотрим вариант решения задания из учебника Дорофеев, Суворова, Бунимович 10-11 класс, Просвещение:
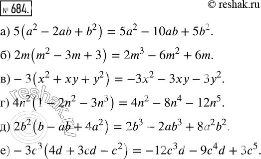
684 Представьте в виде многочлена:
а) 5(а2 - 2ab + b2);
б) 2m(m2 - 3m + 3);
в) -3(x2 + ху + у2);
г) 4n2(1 - 2n2 - 3n3);
д) 2b2(b - аb + 4а2);
е) -3c3(4d + 3cd - с2).
*размещая тексты в комментариях ниже, вы автоматически соглашаетесь с пользовательским соглашением