Упр.664 ГДЗ Никольский Потапов 9 класс (Алгебра)

Решение #1

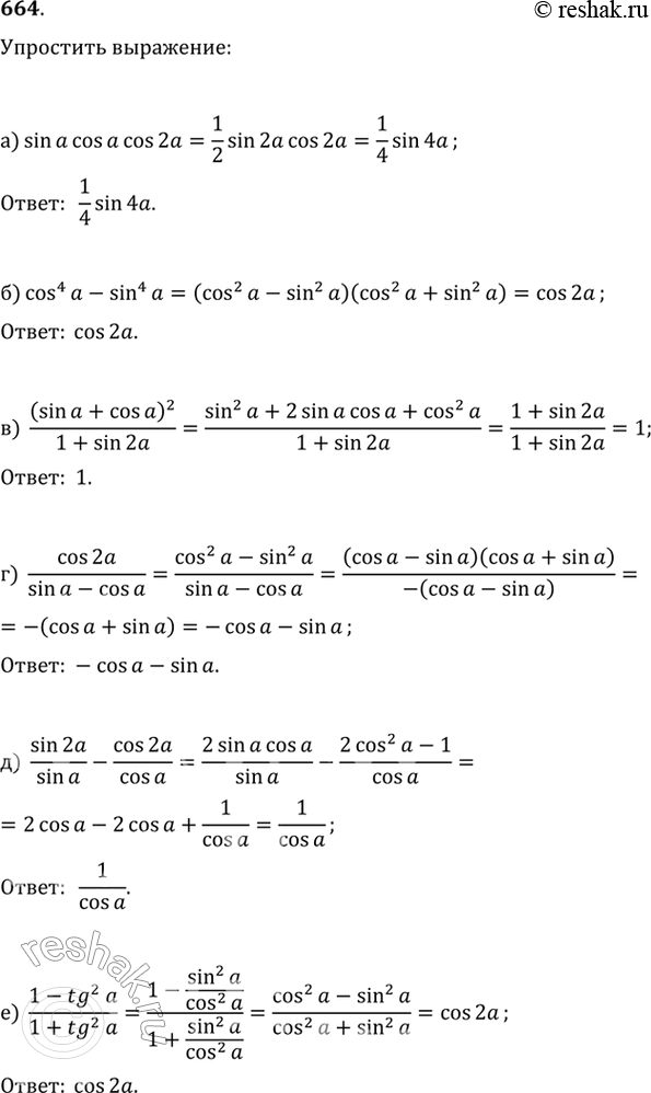
Изображение 664. Упростите выражение:а) sinа cosа  cos2аб) cos^4а-sin^4а в) (sinа+cos?а )^2/(1+sin2а )г) cos2а/(sinа-cosа )  д) sin2а/sinа -cos2а/cosае) 1-tg^2а/1+tg^2а...

Решение #2

Изображение 664. Упростите выражение:а) sinа cosа  cos2аб) cos^4а-sin^4а в) (sinа+cos?а )^2/(1+sin2а )г) cos2а/(sinа-cosа )  д) sin2а/sinа -cos2а/cosае) 1-tg^2а/1+tg^2а...

Рассмотрим вариант решения задания из учебника Никольский, Потапов 9 класс, Просвещение:
664. Упростите выражение:
а) sinа cosа cos2а
б) cos^4а-sin^4а
в) (sinа+cos?а )^2/(1+sin2а )
г) cos2а/(sinа-cosа )
д) sin2а/sinа -cos2а/cosа
е) 1-tg^2а/1+tg^2а
*Цитирирование задания со ссылкой на учебник производится исключительно в учебных целях для лучшего понимания разбора решения задания.
*размещая тексты в комментариях ниже, вы автоматически соглашаетесь с пользовательским соглашением