Упр.660 ГДЗ Дорофеев Шарыгин 6 класс (Математика)
Решение #1

Рассмотрим вариант решения задания из учебника Дорофеев, Шарыгин, Суворова 6 класс, Просвещение:
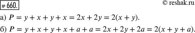
660. Составьте формулу для вычисления периметра многоугольника (рис. 8.10, а, б).
*размещая тексты в комментариях ниже, вы автоматически соглашаетесь с пользовательским соглашением