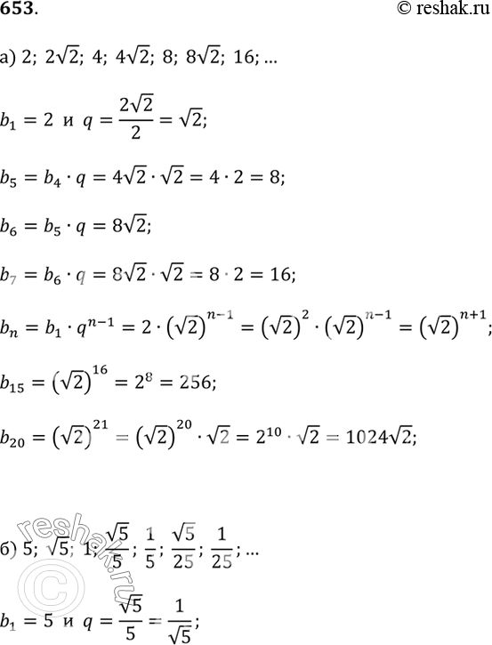
Упр.653 ГДЗ Дорофеев Суворова 9 класс (Алгебра)
Решение #1

Рассмотрим вариант решения задания из учебника Дорофеев, Суворова, Бунимович 9 класс, Просвещение:
653. Дана геометрическая прогрессия. Найдите её знаменатель и выпишите следующие три члена этой прогрессии:
а) 2; 2v2; 4; 4v2; ...;
б) 5; v5; 1; v5/5; ... .
В каждом случае запишите формулу n-го члена этой прогрессии и найдите: 15-й член; 20-й член.
*размещая тексты в комментариях ниже, вы автоматически соглашаетесь с пользовательским соглашением