Упр.651 ГДЗ Дорофеев Суворова 8 класс (Алгебра)

Решение #1

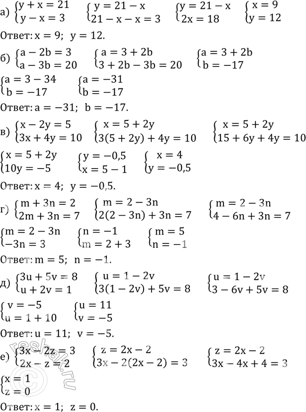
Изображение 651. Решите систему способом подстановки:а) {(y+x=21     y-x=3)+  б) {(a-2b=3      a-3b=20)+  в) {(x-2y=5     3x+4y=10)+  г) {(m+3n=2      2m+3n=7)+ ...
Загрузка...

Рассмотрим вариант решения задания из учебника Дорофеев, Суворова, Бунимович 8 класс, Просвещение:
651. Решите систему способом подстановки:
а) {(y+x=21
y-x=3)+
б) {(a-2b=3
a-3b=20)+
в) {(x-2y=5
3x+4y=10)+
г) {(m+3n=2
2m+3n=7)+
д) {(3u+5v=8
u+2v=1)+
е) {(3x-2z=3
2x-z=2)+
*Цитирирование задания со ссылкой на учебник производится исключительно в учебных целях для лучшего понимания разбора решения задания.
*размещая тексты в комментариях ниже, вы автоматически соглашаетесь с пользовательским соглашением