Упр.649 ГДЗ Никольский Потапов 8 класс (Алгебра)
Решение #1

Рассмотрим вариант решения задания из учебника Никольский, Потапов 8 класс, Просвещение:
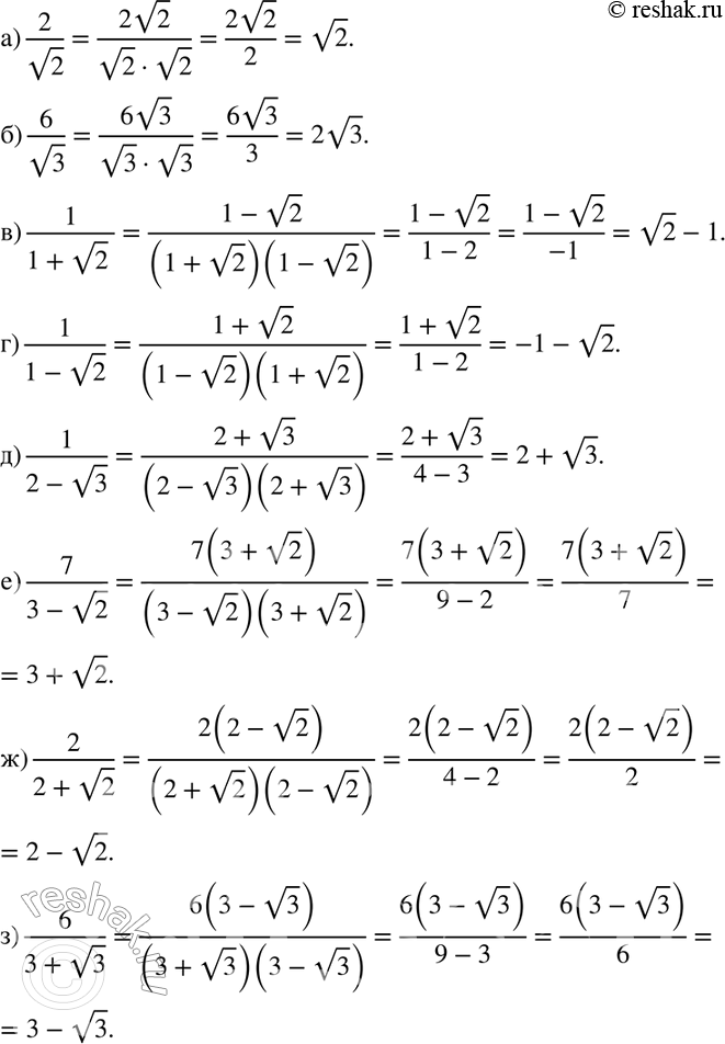
649. Освободитесь от иррациональности в знаменателе:
а) 2/корень 2;
б) 6/корень 3;
в)
г)
д)
е)
ж)
з)
*размещая тексты в комментариях ниже, вы автоматически соглашаетесь с пользовательским соглашением