Упр.644 ГДЗ Колягин Ткачёва 8 класс (Алгебра)
Решение #1

Рассмотрим вариант решения задания из учебника Колягин, Ткачёва, Фёдорова 8 класс, Просвещение:
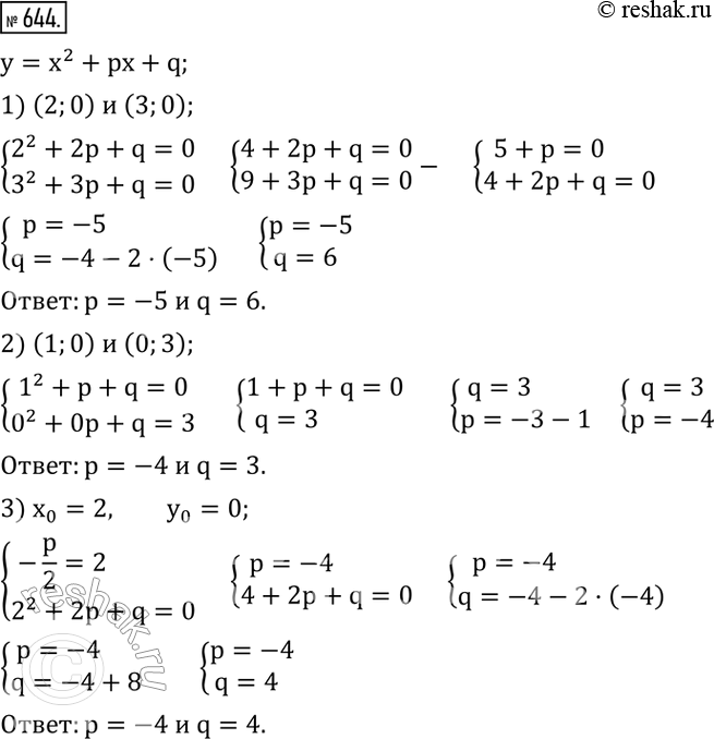
644. Найти p и q, если парабола y=x^2+px+q:
1) пересекает ось абсцисс в точках x=2 и x=3;
2) пересекает ось абсцисс в точке x=1 и ось ординат в точке y=3;
3) касается оси абсцисс вточке x=2.
*размещая тексты в комментариях ниже, вы автоматически соглашаетесь с пользовательским соглашением