Упр.627 ГДЗ Мерзляк Полонский 7 класс (Алгебра)
Решение #1
Решение #2

Рассмотрим вариант решения задания из учебника Мерзляк, Полонская, Якир 7 класс, Вентана-Граф:
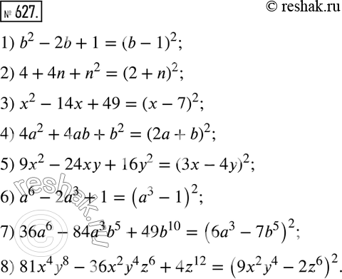
627. Представьте трёхчлен в виде квадрата двучлена:
1) b2 - 2b + 1;
2) 4 + 4а + а2;
3) х2 - 14х + 49;
4) 4а2 + 4ab + 62;
5) 9х2 - 24ху + 16y2;
6) а6 - 2а3 + 1;
7) 36а6 - 84а3b5 + 49b10;
8) 81х4y8 - 36x2y4z6 + 4z12.
*размещая тексты в комментариях ниже, вы автоматически соглашаетесь с пользовательским соглашением