Упр.599 ГДЗ Никольский Потапов 7 класс (Алгебра)
Решение #1

Рассмотрим вариант решения задания из учебника Никольский, Потапов 7 класс, Просвещение:
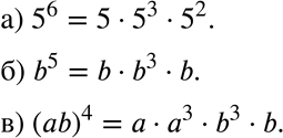
599. Разложите на три множителя хотя бы одним способом:
а) 5^6;
б) 6^5;
в) (аb)4.
*размещая тексты в комментариях ниже, вы автоматически соглашаетесь с пользовательским соглашением