Упр.596 ГДЗ Колягин Ткачёва 11 класс (Алгебра)
Решение #1
Решение #2

Рассмотрим вариант решения задания из учебника Колягин, Ткачёва, Фёдорова 11 класс, Просвещение:
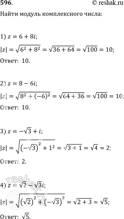
596. Найти модуль комплексного числа:
1) 6 + 8i;
2) 8 - 6i;
3)- корень 3 + i;
4) корень 2 - корень 3i;
5) 5i;
6) -2i;
7) -4/7 - 3/7*i;
*размещая тексты в комментариях ниже, вы автоматически соглашаетесь с пользовательским соглашением