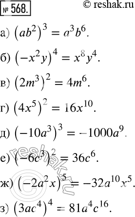
Упр.568 ГДЗ Дорофеев Суворова 7 класс (Алгебра)
Решение #1

Рассмотрим вариант решения задания из учебника Дорофеев, Суворова, Бунимович 10-11 класс, Просвещение:
568 Выполните действия:
а) (ab2)3;
б) (-х2у)4;
в) (2m3)2;
г) (4x5)2;
д) (-10а3)3;
е) (-6с3)2;
ж) (-2а2x)5;
з) (3ас4)4.
*размещая тексты в комментариях ниже, вы автоматически соглашаетесь с пользовательским соглашением