Упр.525 ГДЗ Мерзляк 8 класс (Алгебра)
Решение #1
Решение #2
Решение #3

Рассмотрим вариант решения задания из учебника Мерзляк, Полонская, Якир 8 класс, Вентана-Граф:
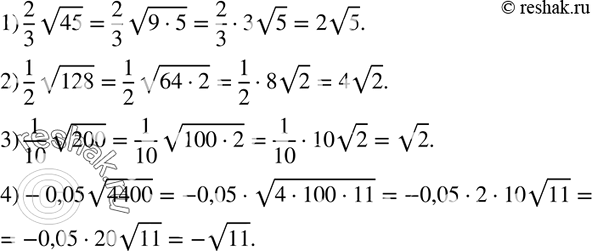
525. Упростите выражение:
1) 2/3 корень 45;
2) 1/2 корень 128;
3) 1/10 корень 200;
4) -0,05 корень 4400.
*размещая тексты в комментариях ниже, вы автоматически соглашаетесь с пользовательским соглашением