Упр.512 ГДЗ Мерзляк Полонский 7 класс (Алгебра)
Решение #1
Решение #2

Рассмотрим вариант решения задания из учебника Мерзляк, Полонская, Якир 7 класс, Вентана-Граф:
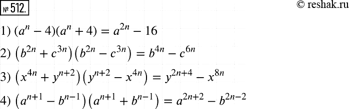
512. Выполните умножение двучленов (n — натуральное число):
1) (аn-4)(аn +4);
2) (b2n + с3n)(b2n - с3n);
3) (х4n + у^(n+2))(у^(n+2) - х4n);
4) (a^(n+1) -b^(n-1))(a^(n+1)+b^(n-1)), n> 1.
*размещая тексты в комментариях ниже, вы автоматически соглашаетесь с пользовательским соглашением