Упр.511 ГДЗ Никольский Потапов 9 класс (Алгебра)
Решение #1
Решение #2
Рассмотрим вариант решения задания из учебника Никольский, Потапов 9 класс, Просвещение:
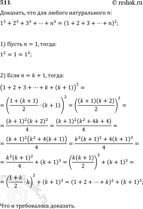
511.
Задача аль-Караджи (Иран, XI в.). Докажите, что для любого натурального n выполняется равенство
1^3+2^3+3^3+...+n^3=(1+2+3+..+n)^2
*размещая тексты в комментариях ниже, вы автоматически соглашаетесь с пользовательским соглашением