Упр.501 ГДЗ Никольский Потапов 9 класс (Алгебра)

Решение #1

Изображение 501. Найдите сумму бесконечно убывающей геометрической прогрессии:а)  (v3+1)/(v3-1);1;(v3-1)/(v3+1);… б) (v2+1)/(v2-1);1;(v2-1)/(v2+1);…...
Дополнительное изображение

Решение #2

Изображение 501. Найдите сумму бесконечно убывающей геометрической прогрессии:а)  (v3+1)/(v3-1);1;(v3-1)/(v3+1);… б) (v2+1)/(v2-1);1;(v2-1)/(v2+1);…...

Рассмотрим вариант решения задания из учебника Никольский, Потапов 9 класс, Просвещение:
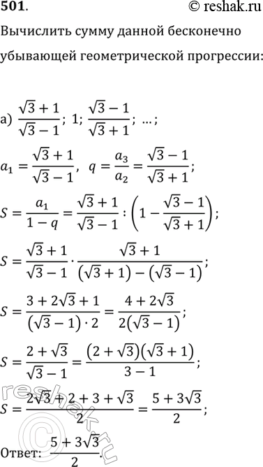
501. Найдите сумму бесконечно убывающей геометрической прогрессии:
а) (v3+1)/(v3-1);1;(v3-1)/(v3+1);…
б) (v2+1)/(v2-1);1;(v2-1)/(v2+1);…
*Цитирирование задания со ссылкой на учебник производится исключительно в учебных целях для лучшего понимания разбора решения задания.
*размещая тексты в комментариях ниже, вы автоматически соглашаетесь с пользовательским соглашением