Упр.501 ГДЗ Колягин Ткачёва 8 класс (Алгебра)
Решение #1

Рассмотрим вариант решения задания из учебника Колягин, Ткачёва, Фёдорова 8 класс, Просвещение:
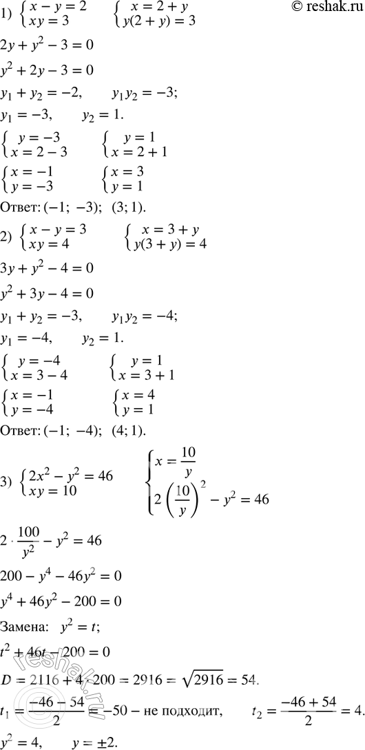
501. Решить систему уравнений:
1) {(x-y=2
xy=3)+
2) {(x-y=3
xy=4)+
3) {(2x^2-y^2=46
xy=10)+
4) {((x-y)^2=4
x+y=6)+
5) {(x^2-y^2=0
4+xy=0)+
6) {(x+y=4
1/x+1/y=1)+
*размещая тексты в комментариях ниже, вы автоматически соглашаетесь с пользовательским соглашением