Упр.497 ГДЗ Мерзляк Полонский 7 класс (Алгебра)
Решение #1
Решение #2

Рассмотрим вариант решения задания из учебника Мерзляк, Полонская, Якир 7 класс, Вентана-Граф:
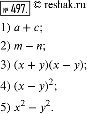
497. Запишите в виде выражения:
1) сумму чисел а и с;
2) разность чисел m и n;
3) произведение суммы чисел х и у и их разности;
4) квадрат разности чисел x и у;
5) разность квадратов чисел x и у.
*размещая тексты в комментариях ниже, вы автоматически соглашаетесь с пользовательским соглашением