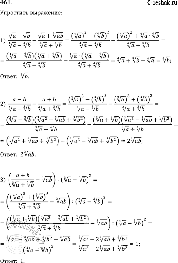
Упр.461 ГДЗ Колягин Ткачёва 10 класс (Алгебра)
Решение #1
Решение #2

Рассмотрим вариант решения задания из учебника Колягин, Ткачёва, Фёдорова 10 класс, Просвещение:
461. Упростить выражение:
*размещая тексты в комментариях ниже, вы автоматически соглашаетесь с пользовательским соглашением