Упр.457 ГДЗ Мерзляк 9 класс (Алгебра)
Решение #1
Решение #2

Рассмотрим вариант решения задания из учебника Мерзляк, Полонская, Якир 9 класс, Вентана-Граф:
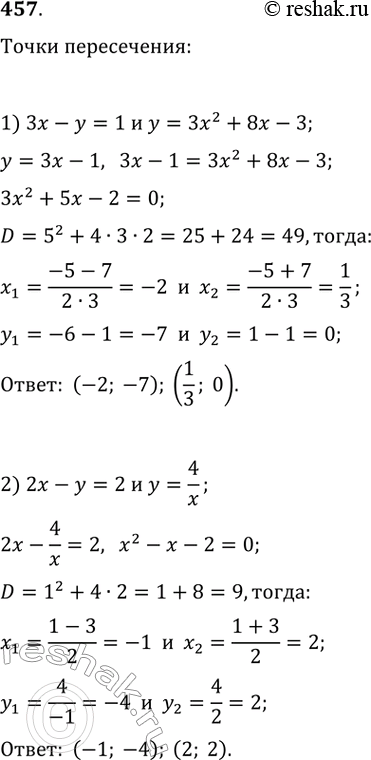
457. Не выполняя построения, найдите координаты точек пересечения:
1) прямой Зх - у - 1 и параболы у = Зх^2 + 8х - 3;
2) прямой 2х - у = 2 и гиперболы y = 4/x;
3) прямой х + y = 1 и окружности (х - 1)^2 + (у + 4)^2 = 16;
4) парабол y = х^2 - 4х + 7 и y = 3 + 4х - 2х^2.
*размещая тексты в комментариях ниже, вы автоматически соглашаетесь с пользовательским соглашением