Упр.448 ГДЗ Мерзляк Полонский 7 класс (Алгебра)
Решение #1
Решение #2

Рассмотрим вариант решения задания из учебника Мерзляк, Полонская, Якир 7 класс, Вентана-Граф:
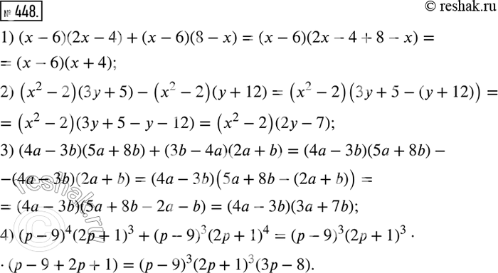
448. Представьте в виде произведения многочленов выражение:
1) (х - 6)(2х - 4) + (х - 6)(8 - х);
2) (х2 - 2)(3y + 5) - (х2 -2)(y + 12);
3) (4а - 3b)(5а + 8b) + (3b - 4а)(2а + b);
4) (р - 9)4(2р + 1)3 +(р- 9)3(2р + 1)4.
*размещая тексты в комментариях ниже, вы автоматически соглашаетесь с пользовательским соглашением