Упр.441 ГДЗ Мерзляк Полонский 7 класс (Алгебра)
Решение #1
Решение #2

Рассмотрим вариант решения задания из учебника Мерзляк, Полонская, Якир 7 класс, Вентана-Граф:
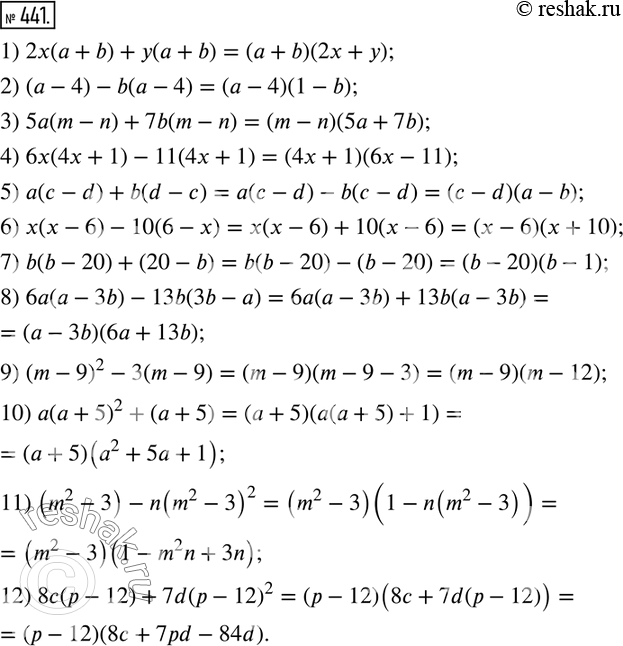
441 Разложите на множители
1) 2х(а + b) + у(а + b);
2) (а - 4) - b(а - 4);
3) 5а(m - n) + 7b(m - n);
4) 6х(4х + 1) - 11(4х+ 1);
5) а(с - d) + b(d - с);
6) х(х - 6) - 10(6 - х);
7) b(b- 20)+ (20-b);
8) 6а(а - 3b) - 13b(3b-а);
9) (m - 9)2 - 3(m - 9);
10) а(а + 5)2 + (а + 5);
11) (m2 - 3) - n(m2 - 3)2;
12) 8с(р- 12) + 7d(p- 12)2.
*размещая тексты в комментариях ниже, вы автоматически соглашаетесь с пользовательским соглашением