Упр.44 ГДЗ Мерзляк 8 класс (Алгебра)
Решение #1
Решение #2
Решение #3

Рассмотрим вариант решения задания из учебника Мерзляк, Полонская, Якир 8 класс, Вентана-Граф:
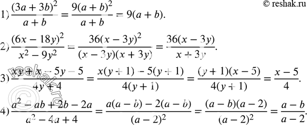
44. Сократите дробь:
1) (3a+3b)2/(a+b);
*размещая тексты в комментариях ниже, вы автоматически соглашаетесь с пользовательским соглашением