Упр.431 ГДЗ Мерзляк 8 класс (Алгебра)
Решение #1
Решение #2

Рассмотрим вариант решения задания из учебника Мерзляк, Полонская, Якир 8 класс, Вентана-Граф:
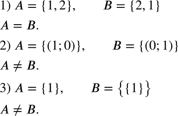
431. Равны ли множества A и B, если:
1) A = {1,2}, B = {2,1};
2) A = {(1,0)}, B = {(0,1)};
3) A = {1}, B = {{1}}.
*размещая тексты в комментариях ниже, вы автоматически соглашаетесь с пользовательским соглашением