Упр.426 ГДЗ Колягин Ткачёва 10 класс (Алгебра)
Решение #1
Решение #2

Рассмотрим вариант решения задания из учебника Колягин, Ткачёва, Фёдорова 10 класс, Просвещение:
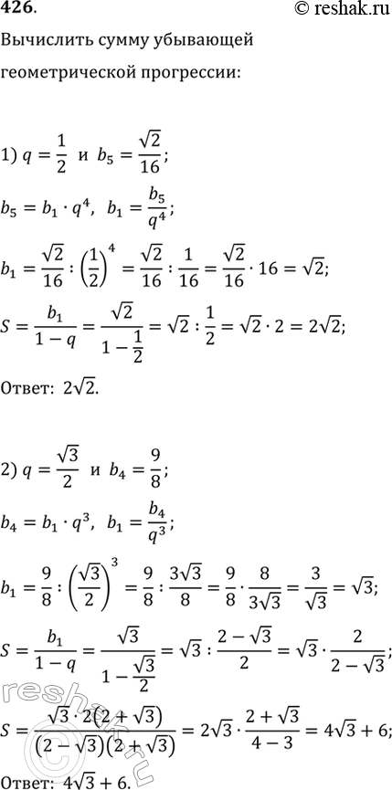
426. Найти сумму бесконечно убывающей геометрической прогрессии, если:
1) q=1/2, b5=корень 2/16;
2) q=корень 3/2, b4=9/8.
*размещая тексты в комментариях ниже, вы автоматически соглашаетесь с пользовательским соглашением